
Transdermal Drug Delivery Modeling Using a Normally Distributed 2D Random Walk Model
Aug 2024 – Oct 2024
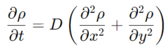
This project presents a simulation of transdermal drug delivery across the skin using a normally distributed 2D random walk model and a Monte Carlo Simulation. This is motivated by the fact that Fick’s second law of diffusion, shown in Figure 1 below, can be mathematically derived from a 2D random walk.

Figure 1 – Fick’s Second Law of Diffusion
In this project, we assume focal drug release, in which the drug is assumed to be released from a single, concentrated point, and diffuse accordingly.
Monte Carlo Simulation


Figure 2 – Monte Carlo Simulation at (a) 25,000 steps; and (b) 27,000 steps
Normally Distributed 2D-Random Walk
Video 1 – Normally Distributed 2D-Random Walk on Matlab